Brezilya Sağlık Bakanlığı, ülkedeki üçüncü doz Covid-19 aşılarının etkisini ölçmek için Oxford Üniversitesi ile birlikte bir çalışma yürüttü. Çalışmanın sonuçlarını Lancet dergisinde yayımladı.
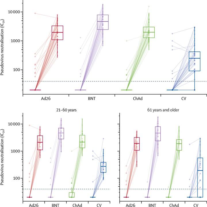
İki doz Sinovac üzerine üçüncü doz için farklı aşı tercih edilmesinin etkisi ölçmek amacıyla iki doz Sinovac aşısı olmuş 1240 katılımcı dört ayrı gruba ayrıldı. Bu gruplara üçüncü doz için Pfizer/BioNTech, AstraZeneca, Johnson&Johnson ve Sinovac aşıları yapıldı. Üçüncü doz için Sinovac uygulanan gruba kıyasla diğer gruplarda daha güçlü antikorlar üretildiği tespit edildi.
Bu çalışma, Sinovac’ın yanı sıra TURKOVAC gibi diğer inaktif aşılar için de rehber niteliği taşıyor. Üç doz inaktif aşı yerine iki doz inaktif ve bir doz farklı formüllü bir aşının daha etkili olduğunu gösteriyor.
Çalışmaya göre, iki doz Sinovac aşısı yaptıran 18-60 yaşlarındaki yetişkinlerin yalnızca yüzde 20,4’ü ve 60 yaş üstü yetişkinlerin yüzde 8,9’u tespit edilebilir düzeyde nötralize edici antikorlar bulundu. Bu çalışmadan yola çıkarak Türkiye’de iki doz Sinovac aşısı olmuş kişilerin üçüncü doz için BioNTech tercih etmesinin daha etkili olacağını söyleyebiliriz.
Araştırmanın detaylarına kaynak bölümünden ulaşabilirsiniz.
Kaynak: Donanimhaber


